欢迎光临开云集团官网首页_开云(中国)网站!
联系人:董经理
手机:18605344116
电话:0534-6065024
传真:0534-2178521
邮箱:dzdongrun@126.com
Q Q:1204918973
地址:山东德州武城县经济开发区
不锈钢系列产品
不锈钢排烟风机

名称:不锈钢排烟风机

详细信息

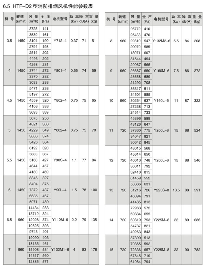
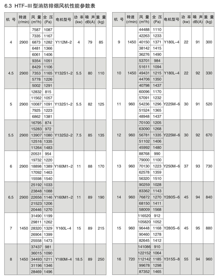
HTF型不锈钢排烟风机

HTF型不锈钢排烟风机其特点有:

①耐高温性能优良(在280℃高温条件下运转时间不低于30分钟);

②适用范围广根据高级民用建筑的不同要求,采用变速或多速驱动形式,以达到一机二用,即常用通排风和消防使用时高温排烟的目的);

③效率高;④安装方便,占地较离心风机小。












固话:0534-6065024

传真:0534-2178521

邮箱:dzdongrun@126.com

地址:山东省德州市武城县经济开发区

联系咨询热线

186-0534-4116

欢迎您来电咨询

主要从事于不锈钢风机,铝制风机,碳钢风机, 玻璃钢风机,消防排烟风机,欢迎来电咨询!
COPYRIGHT ©开云集团官网首页_开云(中国) ALL RIGHTS RESERVED 备案号:鲁ICP备18012821号-2 技术支持:极速互联 网站地图